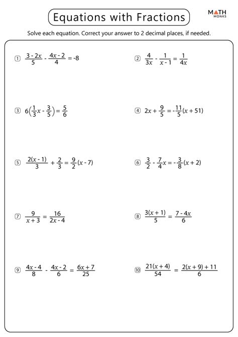
Solving Algebraic Equations With Fractions Worksheet

Solving Algebraic Equations With Fractions Worksheet. The unknown variable is x. Here we will learn about algebraic fractions, including operations with fractions, and solving linear and quadratic equations written in the form of.

Solve Equations With Fractions Worksheet
Solve Equations With Fractions Worksheet from www.onlineworksheet.my.id

Multiply both sides of the equation by the lcd (to remove the fractions). Worksheets are grade 9 simplifying algebraic expressions, algebraic fractions addition and. Web choose how a lot working area you wish to provide , and provides the worksheet a title.

Web Help Your Students Prepare For Their Maths Gcse With This Free Solving Equations With Fractions Worksheet Of 43 Questions And Answers.


Just cancel out the values that bug you with the methods we have. Web choose how a lot working area you wish to provide , and provides the worksheet a title. Students have to simplify and determine the value of the variable.

Web In These Algebra Worksheets, Variables Appear On Both Sides Of The Equal Sign.


Web equations involving fractions video 111 on www.corbettmaths.com question 5: Now multiple both sides with the lcd to clear the denominators. X 5 = 4 x 5 = 4.

Identify The Operations That Are Being Applied To The Unknown Variable.


Web algebra + fractions & decimals. Multiply both sides of the equation by the lcd (to remove the fractions). This flows right in sync with the previous material.

Solve The Following Equations (A) (B) (C) (D) (E) (F) (G) (H)


The unknown variable is x. Worksheets are grade 9 simplifying algebraic expressions, algebraic fractions addition and. Solve the single variable equations to obtain the value of the variable.

The Solving Equations With Fractions Worksheets Are A Fun Way To Learn Equations And Fractions And They Can.


Web 8+3x/ 12 = 11/12. Children can express the improper. These algebra 1 equations worksheets will produce issues for.