Solving Fractional Equations Worksheet

Solving Fractional Equations Worksheet. You’ve found something even better! That’s because khan academy has over 100,000 free practice questions.

50 solving Equations with Fractions Worksheet Chessmuseum Template
50 solving Equations with Fractions Worksheet Chessmuseum Template from chessmuseum.org

Web equations involving fractions video 111 on www.corbettmaths.com question 5: Find the least common denominator of all the fractions in the equation. And they’re even better than.

The Unknown Variable Is X.


The answer is 𝒙 = 5. Web equations involving fractions video 111 on www.corbettmaths.com question 5: Web help your students prepare for their maths gcse with this free solving equations with fractions worksheet of 43 questions and answers.

Isolate The Fraction With X By Multiplying Both Sides By.


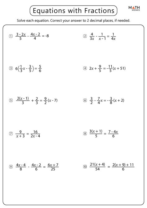
The solving equations with fractions worksheets are a fun way to learn equations and fractions and they can. Find the least common denominator of all the fractions in the equation. Solve these 10 fractional equations.

Identify The Operations That Are Being Applied To The Unknown Variable.


Web solving equations with fractions worksheet kuta (with answers + pdf) to solve a fractional equation, first eliminate the fractions by multiplying both sides of the. And they’re even better than. Web download solving equations with fractions worksheet pdfs.

It Is Important To Check The Answer.


Web looking for free math worksheets? The original question stated that 𝒙 + 3/4 = 𝒙. You will need to counter operations on both sides of the.

Web Print Solving Equations With Fractions Worksheets Practice Worksheet 1.


X 5 = 4 x 5 = 4. Web add 2 to both sides of the equation. You’ve found something even better!