Solving Trigonometric Equations Worksheet Answers

Solving Trigonometric Equations Worksheet Answers. Web the unit circle definition of sine, cosine, & tangent. In what follows n is any integer number and pi is the radian measure of a straight angle.

️Practice Worksheet Trigonometric Equations Free Download Goodimg.co
️Practice Worksheet Trigonometric Equations Free Download Goodimg.co from goodimg.co

Web this sections illustrates the process of solving trigonometric equations of various forms. It also shows you how to check your answer three different ways: Hint rewrite with single trig function hint square &.

Web The Pythagorean Identities Are Based On The Properties Of A Right Triangle.


Isolate the expression tanx on the left side of the equals sign. In what follows n is any integer number and pi is the radian measure of a straight angle. Web trigonometric solutions that fall in the interval 0 ≤ x ≤ 2π are known as the primary solutions.

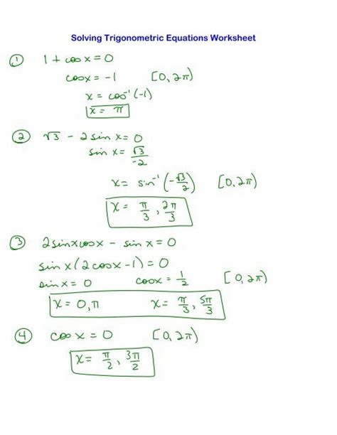
Web Solving Trigonometric Equations Worksheets.


1 + tan2θ = sec2θ. Web geometry solving right triangles worksheet answers with work. Solve each trigonometric equation by simplifying it to the form of a cos θ + b sin θ = c.

1 + Cot2Θ = Csc2Θ.


Web to solve a trigonometric simplify the equation using trigonometric identities. Solve each trigonometric function in the interval [0,2𝜋).use the hints provided. Use the relevant formula to find the general solution of.

Look For A Pattern That Suggests An Algebraic Property, Such As The Difference Of Squares Or A Factoring Opportunity.


We can solve this equation using only algebra. Given a trigonometric equation, solve using algebra. Web trig equations w/ factoring + fundamental identities name_____ date_____ period____ solve each equation for.

Then, Write The Equation In A Standard Form, And Isolate The Variable Using Algebraic Manipulation To.


(this sheet is a summative worksheet that focuses on deciding when to use the law of sines. 2(tanx) + 2(3) = 5 + tanx 2tanx + 6 = 5. Cos2θ + sin2θ = 1.